利用机器实验和机器学习的自主探索电池电解质
利用机器实验和机器学习的自主探索电池电解质前言:为了实现交通运输和航空领域的电气化,高能量密度和安全的电池至关重要。利用机器学习和机器人实验相结合的方法,在电池电解液...
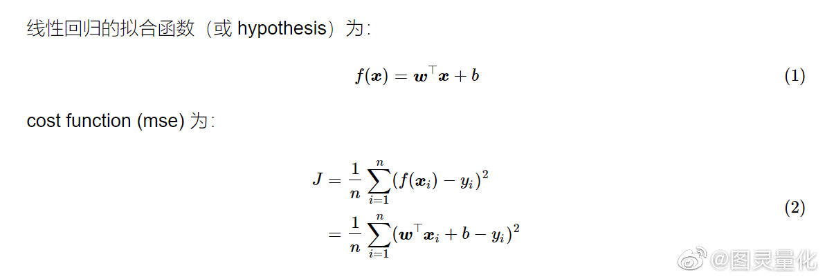
lasso回归和岭回归(Lasso回归和岭回归)
【Lasso回归和岭回归】线性回归(linear regression),就是用线性函数 f(x)=wx+b 去拟合一组数据 D={(x1,y1),(x2,y2),...,(xn,yn)} 并使得损失 J=1nni=1(f(xi)yi)2 最小。线性回...
WS2二维核壳结构单分子层中的带隙调制
WS2二维核壳结构单分子层中的带隙调制前言WS2是一种二维材料,具有优异的光电性能和机械性能,因此在纳米电子学和光电子学领域有着广泛的应用前景,其中,WS2单分子层的带隙调制是...
自旋镀膜中磁场定向采金——铁磁流体纳米乳的空间组织研究
自旋镀膜中磁场定向采金——铁磁流体纳米乳的空间组织研究由于Fe3O4具有优异的磁柔韧性,同时经历N鳗鱼运动和布朗运动,从而使液滴易于对齐并向磁场方向平动形成。铁磁流体的油...
石墨烯纳米片是什么材料(石墨烯纳米片质量分析)
石墨烯纳米片质量分析石墨烯纳米片成品的质量分析是评价剥离工艺优劣性的重要指标,在本工作中我们同样结合表征手段对GNPs成品进行了质量评定。首先我们将Raman光谱分析技术...
超声波电机优化迭代学习控制研究
超声波电机优化迭代学习控制研究超声波电机(UltrasionicMotor,USM)是近些年在国内外逐渐发展起来的一种新型微电机。一般来说频率大于20kHz就可称其为超声波。随着超声波电机的...
恒星演化光谱(恒星的光谱是研究恒星性质和演化的重要手段之一)
恒星的光谱是研究恒星性质和演化的重要手段之一对于低质量恒星的光谱,由于其表面重力和压强较小,而引起的光学深度较浅,因此存在一些独特的特征,需要在数据处理和分析中特别考虑...
年假怎么算的(年假怎么算?你知道吗?)
年假怎么算?你知道吗?岑嘉莉律师。年假怎么算?好多小伙伴们对年休假的算法还是拿不准的,今天小陈就以举例的方式给你说明白。小张在2020年7月1日正式入职A科技公司,一直工作至202...
关注并且真的用ElgatoStreamDeck+有一段时间
关注并且真的用 Elgato Stream Deck + 有一段时间,可是从开始用到现在的这接近一个月时间里,我都在思考一个问题,那就是这到底是一款什么样的产品?要是按照官方的说法,这是一款多...
水质评价科普(每日科技名词|水质评价)
每日科技名词|水质评价water quality assessment定义:按水体用途、水质标准,对水环境组分的质量进行的科学评价。学科:水利科学技术_环境水利_水污染防治(水利)相关名词:湖泊 水库...
