有的人自认为Word的操作很简单,不就是打打字,插插图之类的,但其实不然,Word的作用岂止是这些。就比如说我们的数学公式,在Word中的输入,就是很多人不清楚的。下面我们就来试试,如何在Word中输入数学公式。
打开Word菜单,选择“插入”页,在选项里有一个“符号”区:
在“符号”区,选择“公式”项,点击“公式后,会弹出公式框:
以根式为例简单做一介绍,点击根式,弹出根式框:
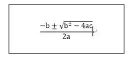
为了简化,我选择了一件列好的公式为例,看看公式在Word公式编辑框里是啥样:
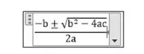
如果要修改编辑,那么点击编辑框旁边的下拉键,出现一个编辑菜单,进行微调或修改:
如果不想修改了,就点击原文的空白处:
是不是觉得Word不止打字和插图那么简单呢,是不是觉得又学到了一项技能呢?小伙伴们一起get起来吧!如果想知道更多关于Word/Excel办公招数,那就快关注我们的《Word/Excel行政文秘办公实战秘技250招》一书。
