“我说南中事,君应不愿听。曾经身困苦,不觉语叮咛。”
很多教高中数学的教师并不了解初中的平面几何知识,尤其是平面几何不在中考范围内的定理。比如赛瓦定理,梅涅劳斯定理,圆幂定理等。
事实上,通过射影变换的方法,完全可以将平面几何的知识应用到圆锥曲线当中,毕竟二者都属于二维范围内的几何。
今天我们一起探究圆幂定理在圆锥曲线中的特殊表现。
首先,有请“圆幂定理”闪亮登场!
圆幂定理定义:一点P对半径R的圆O的幂定义如下:圆幂=OP²-R²
显然:若点P在圆内,P点的幂为负数;点P在圆外,P点的幂为正数;点P在圆上,P点的幂为零。
这样看也许比较抽象,我们看一个确切的实例:
如图点P是弦AB上一点,则
PA×PB=(AD-PD)×(BD+PD)=AD²-PD²=R²-OD²-(OP²-OD²)=R²-OP²
即PA×PB=圆的幂。如果此时出现另一个弦CD也过点P,则PC×PD也是圆幂。那么则有PA×PB=PC×PD。
写到这,相信大家认识到了,这其实就是相交线定理,同理还有切割线定理、割线定理,它们的统一形式就是“圆幂定理”!
相交弦定理:PA×PB=PC×PD
切割线定理:PA²=PC×PD
割线定理:PA×PB=PC×PD
情况一
情况二
情况三
情况四
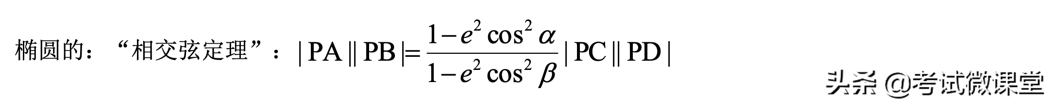
现在我们把“圆幂定理”应用到圆锥曲线中,先从割线开始,设过点P可以做椭圆的两条切线,分别交椭圆于A、B,C、D。猜想:PA×PB=PC×PD?徒手做个椭圆可以看出,显然不太成立,那么我们可以进行二次猜想,PA×PB=λPC×PD?
这个是可行的,利用直线的参数方程,可以证明该式子成立,同时可以求出λ的值!
至此,我们得到:
同理,对于其他情况也有:
特别指出,当两条直线的斜率互为相反数的时候,即倾斜角互补的时候,此时λ=1,就变成了和“圆幂定理”一模一样的情形!
有些好奇心强的同学问了,那么这个椭圆,是封闭的图形,对于双曲线和抛物线呢?它们可是开放的曲线啊?
以上三个定理的厉害之处就在这个四个字:“同样适用”!大家可以自行把前文中的“椭圆”二字全部替换成“圆锥曲线”四个字!
大显身手:
【分析】根据已知条件中“两个焦点与短轴的一个端点是直角三角形的3个顶点”,可求椭圆离心率;直线PT斜率是-1,可知其倾斜角。求出点T坐标,可得直线OT的斜率,和直线AB的倾斜角。此题符合椭圆中的“切割线定理”,代入公式λ即可。
【答案】4/5
给出标准答案解题过程:
【分析】根据第二问可以求出直线AC和BD的斜率分别是-1/2和1/2,斜率互为相反数,故此题λ为1.
详解略:文末有详细答案word版的获取方式
【分析】此题通过作图可发现,问题实质上就是λ的值!
【详解】见WORD版
