【名师推荐】2022年全国各地高考数学分类汇编含详解,请为孩子收藏
PDF电子版下载方式详见篇尾说明
包括高考数学新课程全国1卷、全国2卷、全国甲卷(文理)、全国乙卷(文理)、浙江卷、北京卷等,共107页,包括集合、常用逻辑用语、复数、不等式、平面向量、函数与导数、数列、三角函数与解三角形、计数原理、概率统计、立体几何、解析几何共11个部分。
详情如下:
1.集合,重点考查集合的基本概念,特别是描述法及集合的交并补运算,重点涉及方程与不等式的解法;
2.常用逻辑用语,重点考查充分必要条件和全称量词命题与存在量词命题的概念及否定,特别注意范围型充分必要条件的判断;
3.复数,重点考查复数的概念,复数相等的判断,复数的实部与虚部,复数的模,共轭复数,复数的几何意义,复数对应点所在象限判断;建议掌握复数的三角形式和欧拉公式;
4.不等式,重点考查解一元二次不等式、一元高次不等式、一元分式不等式、一元含参不等式;借助基本不等式(均值定理)求最值;建议掌握穿针法(穿针引线法);
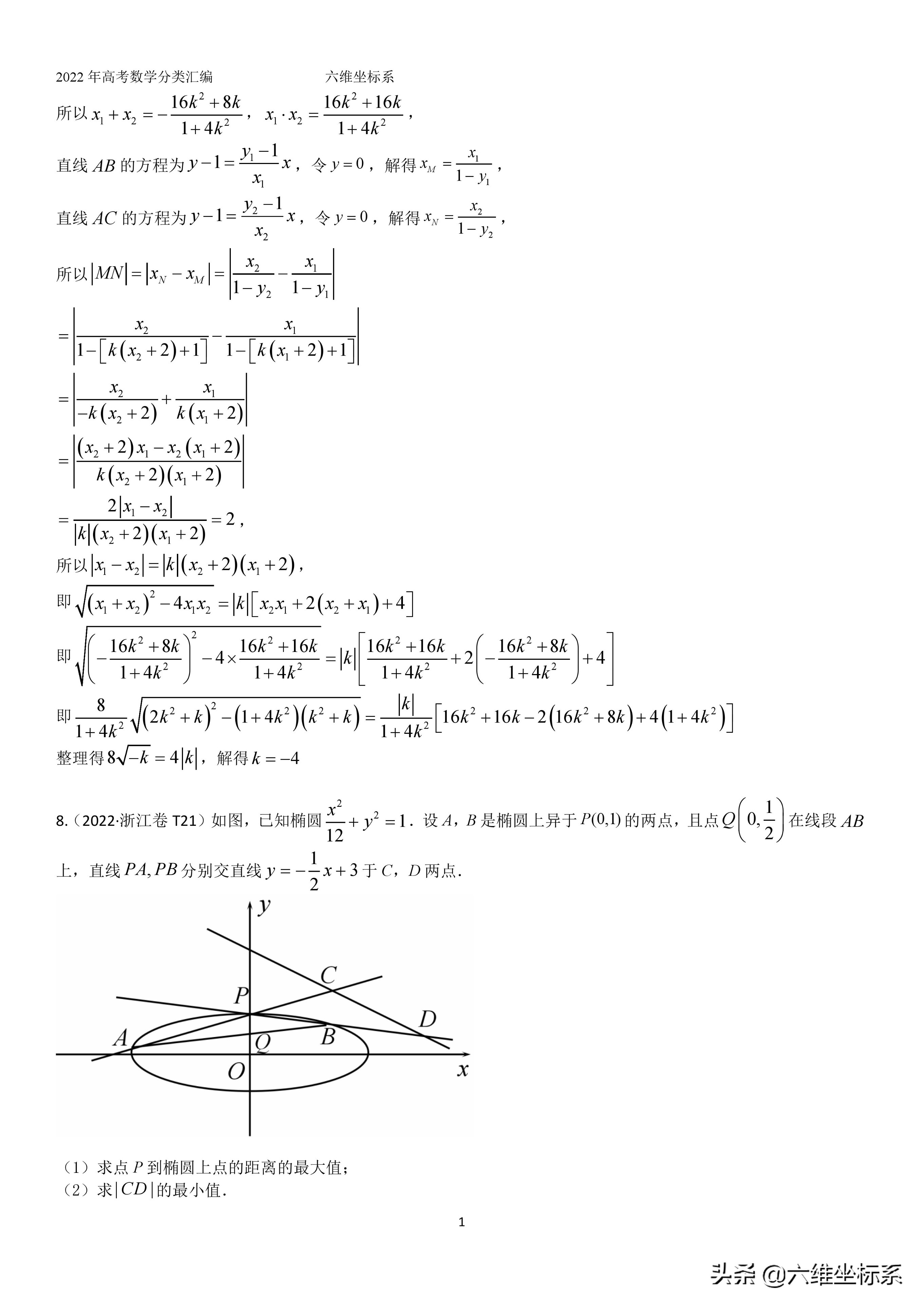
5.平面向量,落实平面向量的基本定理、掌握基底分解法(平行走路分解法)和坐标法,掌握平面向量的模、数量积、夹角和平面向量共线的应用,建议掌握极化恒等式、四边形对角线向量定理;
6.函数与导数,落实函数的核心概念,解析式的求法,函数定义域值域求法,未知函数图像作法,抽象函数、分段函数、复合函数的四大性质解决方法;
掌握利用导数研究函数的性质,会求函数的两种类型的切线,理解极值点偏移、函数同构、找点卡根、隐零点问题、端点效应、泰勒级数(泰勒展开式)、洛必达法则等补充内容,注意高中数学与大学数学的衔接内容;
7.数列,落实数列的概念,递推数列,等差等比数列的通项公式和求和方法,掌握错位相减法、裂项相消法、分组求和法、添加抽取合并项问题,建议落实差分思想和商分思想,掌握奇偶项讨论和不等式放缩;
8.三角函数与解三角形,掌握角的推广、弧度制、弧长面积公式、三角函数的概念、同角三角函数关系、两角和与差的三角函数(二倍角公式)、三角函数的图像与性质;在解三角形中落实正余弦定理、面积公式及数学建模;
9.计数原理,掌握二项式定理的通项公式和赋值法,落实排列组合的基本模型;
10.概率统计,掌握用样本估计总体,落实中位数、众数、平均数、方差、极差、第p百分位数在实际中的应用,掌握两大抽样方法——简单的随机抽样和分层抽样;
概率中重点落实超几何分布、二次分布(两点分布),离散型随机变量的分布列、期望及方差的求法技巧,学会分类和分布,理解加法和乘法运算,重在理解;
11.立体几何,掌握立体几何中点线面的关系,常用几何体的表面积与体积公式,落实立体几何三大方法:传统法、空间向量法和空间向量基本定理(基底分解法),掌握截面问题、外接球问题、动点问题;
12.解析几何,包括直线与圆、圆锥曲线(椭圆、双曲线、抛物线),掌握硬解定理及五大曲线的图形与性质,直线与圆、圆锥曲线的位置关系及弦长公式,落实弦中点模型、定点定值定直线模型、齐次化同除法、阿基米德三角形等;
凡是按住“点赞”3秒以上并转发评论,并留言“2022高考分类”均可获得全国各地高考数学试题分类汇编pdf版,祝大家学习愉快。系统学习新高一数学上学期内容请查看下面的小卡片。
