脊椎动物和高C/G比值的无脊椎动物线粒体是否来自同一起源?
一、脊椎动物和高GC比无脊椎动物线粒体基因组结构和组成的比较分析
假设核昔酸或氨基酸替换率在生物进化过程中是恒定的,进化树是根据核首酸(或氨基酸)亚基的差异绘制的,目的是基因的研究。
然而基因稳定性是已知的不同的基因在一个有机体内和不同的生物之间,进化系统进化树被认为有一个单一的起源,达尔文并没有在其关于物种起源的开创性文本中明确说明这一点。
利用聚类分析,我们以前使用完整基因组的数据来量化一个范围或生物(细菌、古细菌和真核生物)的核昔酸含量。
最终所有器官主义被分为两种密码子模式,并认为这两组人偏离了一个主题一起源,这些结果是基于数学分析,而不是直接的证据,分类群的添加和删除对系统发育树的拓扑结构有很大的影响。
进化可以用线性公式来表示,这一事实表明进化是线性进行的,因此使用最佳拟合线的两个进化过程的表达可以提供信息,这两条线的交叉表明这两个进化过程在一个阶段发生了分歧,而在这两条线的末尾形成的楔形文字表明两者都是从单一起源演化而来的。
根据高C/G和低C/G比值的回归曲线,将无脊椎动物线粒体分为两组,在进化史上后来的物种分化将被分为两条线来表示,两个演化过程的差异程度由楔形角表示,小的和大的演化差异分别由锐角和钟角表示,相同的演化过程由重营的单线表示。
先前的分析表明,在细菌染色体DNA中,代表编码区核昔酸关系的回归线几乎是相同的, 古菌与真核生物,在之前的研究中,两条代表叶绿体和植物线粒体中同源核苻酸含量的回归线在编码区和非编码区均呈楔形。
最近的一项研究也采用了类似的方法,利用基因组数据为生命的单一起源提供了简单的证据,本研究的目的是确定脊椎动物和无脊椎动物线粒体的进化历史,因为两者在以前的研究中被归为一类。
二、不同进化分支上脊椎动物和高GC比无脊椎动物线粒体基因组的演化速率差异
基因组数据是从国家中心生物科技资讯 ,所检查的细胞器列表在前面已经描述过了,比较了编码区和非编码区的核昔酸含量到完整的单链DNA作图时,核昔酸含量标准化为1(国+国+A+T=1的一个例子),计算是使用微软Excel (2003版)进行的。
当检测四个核普酸含量之间的关系时,在全基因组中的细胞核、叶绿体和植物线粒体中得到了具有高回归系数的线性回归线,在动物线粒体中绘制了四种核昔酸关系,它们之间的关系非常密切。
将无脊椎动物线粒体分为两类后发现,无脊椎动物线粒体的同源核首酸与其类似物之间的关系近似线性,一组verteb ate线粒体被纳入无脊椎动物组之一,和核昔酸改变林,同型核昔酸。
本研究采用线性回归的方法表达了编码区/非编码区与完全链之间的同源核甘酸含量关系,并绘制了编码区核甘酸含量与全链G核普酸含量的最佳拟合线。
编码区G含量与完整单链DNA呈显著正相关,与高C/G比值无脊椎动物线粒体有明显的分离,这两条回归线形成模形,表明这两条直线都是独立于同一单一起源的。
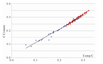
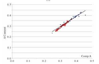
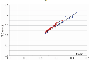
它可能不能否认,这两条线收敛米线粒体进化,标准化脊椎动物(红色正方形)和高C/Gratio脊椎动物(蓝色正方形)的核酸关系线粒体值,编码区的Gn核甘酸含量(纵轴) 与完整单链DNA中的G含量 (横轴) 相对应。
盲(Eptatreus bugeri) 是脊椎动物的基础,是活化石,其分类一直存在争议,盲的总G含量 (0106)是所有脊椎动物中最低的,完全符合脊椎动物而非无椎动物的界线。
另一方面,硬鱼G含量(0.179)是该线的顶部,而人类 (人)归一化脊椎动物(红方)和高C/G比无脊椎动物(蓝方)线粒体值的核昔酸关系。
编码区(垂直轴)中的核昔酸含量与完整的单个DNA链(水平轴)中的G含量相对应,(A)C;(B)T,(C)智人)G含量(0.132)为中线。
结论
随着进化G含量明显增加,事实上根据数学计算,生命起源的G或C含量为-0.03,而TorA的含量为~047[10]高C/G比值无脊椎动物加脊椎动物的线粒体一Dri a异核甘酸 (C/T编码区) ,归一化苔鲜类(红方)和高C/G比无脊椎动物(蓝方)线粒体值中的同核甘酸关系。
编码区(垂直轴)的核甘酸含量与完整的单链DNA(水平轴)中的同核酸含量相对应(a)C;(b)T;(c)A,C和A同核甘酸回归线重叠原因尚不清楚,特别是因为G和A核甘酸都是噤吟,C和T都是喀呢。
这些结果表明,脊椎动物和高C/G比值的无脊椎动物线粒体独立地来自同一起源,以前曾有人建议,线粒体来自变形菌,如果是这样的话,这项研究成果将具有重大意义。
