标准曲线的标准不确定度使用A类不确定度评定。
先设置一组数据,假设每水平测定针数为1。
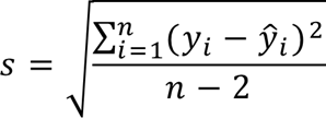
首先要计算每一组份的剩余标准偏差,剩余标准偏差如何计算,请见其他原创文章:
公式为:
经计算,得到每一种组分的剩余标准偏差如下图:
接下来要计算斜率和截距。
斜率b:Excel函数为:=SLOPE(y,x)
斜率b不确定度的公式:
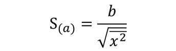
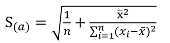
截距a:Excel函数为:=INTERCEPT(y,x)
截距a不确定度的公式:
或:
或:
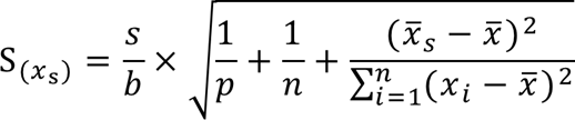
使用此条标曲计算代入标准不确定度:
p为平行测定次数;
n为标曲总点数(若7水平平行针为14,三平行针为21);
Xs拔:为测量样品浓度平均值;
Xi为标准曲线每一个点的浓度。
我以液相单针测试为例:
S公式中数据为:
为54253...2658757
(1-29885.93)/52416.50...(50-29885.93)/52416.50
S(xs)公式中数据为:
1
7
2.564
计算所得为:
至此,标准不确定度计算完毕,如需要扩展确定包含因子乘上即可。
