轻松办公-OfficeExcel函数精解
(四十一)
1、FISHER函数
- 函数功能
返回点 x 的 Fisher 变换。该变换生成一个正态分布而非偏斜的函数。使用此函数可以完成相关系数的假设检验。
- 语法
FISHER(x)
参数说明:
- X 为要对其进行变换的数值。
注解:
- 如果 x 为非数值型,函数 FISHER 返回错误值 #VALUE!。
- 如果 x ≤ -1 或 x ≥ 1,函数 FISHER 返回错误值 #NUM!。
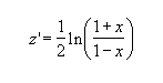
- Fisher 变换的计算公式为:
- 示例
2、FISHERINV函数
- 函数功能
返回 Fisher 变换的反函数值。使用此变换可以分析数据区域或数组之间的相关性。如果 y = FISHER(x),则 FISHERINV(y) = x。
- 语法
FISHERINV(y)
参数说明:
- Y 要对其进行反变换的数值。
注解:
- 如果 y 为非数值型,函数 FISHERINV 返回错误值 #VALUE!。
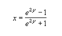
- Fisher 变换反函数的计算公式为:
- 示例
3、FORECAST函数
- 函数功能
根据已有的数值计算或预测未来值。此预测值为基于给定的 x 值推导出的 y 值。已知的数值为已有的 x 值和 y 值,再利用线性回归对新值进行预测。可以使用该函数对未来销售额、库存需求或消费趋势进行预测。
- 语法
FORECAST(x,known_y's,known_x's)
参数说明:
- X 为需要进行预测的数据点。
- Known_y's 为因变量数组或数据区域。
- Known_x's 为自变量数组或数据区域。
注解:
- 如果 x 为非数值型,函数 FORECAST 返回错误值 #VALUE!。
- 如果 known_y's 和 known_x's 为空或含有不同个数的数据点,函数 FORECAST 返回错误值 #N/A。
- 如果 known_x's 的方差为零,函数 FORECAST 返回错误值 #DIV/0!。
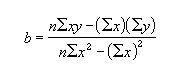
- 函数 FORECAST 的计算公式为 a+bx,式中:
且:
且其中 x 和 y 是样本平均值 AVERAGE(known_x's) 和 AVERAGE(known_y's)。
- 示例
4、FREQUENCY函数
- 函数功能
计算数值在某个区域内的出现频率,然后返回一个垂直数组。例如,使用函数 FREQUENCY 可以在分数区域内计算测验分数的个数。由于函数 FREQUENCY 返回一个数组,所以它必须以数组公式的形式输入。
- 语法
FREQUENCY(data_array,bins_array)
参数说明:
- Data_array 是一个数组或对一组数值的引用,您要为它计算频率。如果 data_array 中不包含任何数值,函数 FREQUENCY 将返回一个零数组。
- Bins_array 是一个区间数组或对区间的引用,该区间用于对 data_array 中的数值进行分组。如果 bins_array 中不包含任何数值,函数 FREQUENCY 返回的值与 data_array 中的元素个数相等。
注解:
- 在选择了用于显示返回的分布结果的相邻单元格区域后,函数 FREQUENCY 应以数组公式的形式输入。
- 返回的数组中的元素个数比 bins_array 中的元素个数多 1 个。多出来的元素表示最高区间之上的数值个数。例如,如果要为三个单元格中输入的三个数值区间计数,请务必在四个单元格中输入 FREQUENCY 函数获得计算结果。多出来的单元格将返回 data_array 中第三个区间值以上的数值个数。
- 函数 FREQUENCY 将忽略空白单元格和文本。
- 对于返回结果为数组的公式,必须以数组公式的形式输入。
- 示例
(公式注释:示例中的公式必须以数组公式输入。将示例复制到空白工作表之后,请选择区域 A12:A15,按 F2,再按 Ctrl+Shift+Enter。如果公式未以数组公式的形式输入,则单元格 A12 中只有一个结果 (1)。)请按以下步骤执行操作:
步骤1:
步骤2:
步骤3:
更多精彩内容将在以后的章节分享给朋友们,请添加好友至收藏,欢迎点赞并关注后期内容更新!
