轻松办公-OfficeExcel函数精解
(四十二)
1、FTEST函数
- 函数功能
返回 F 检验的结果。F 检验返回的是当数组 1 和数组 2 的方差无明显差异时的单尾概率。可以使用此函数来判断两个样本的方差是否不同。例如,给定公立和私立学校的测试成绩,可以检验各学校间测试成绩的差别程度。
- 语法
FTEST(array1,array2)
参数说明:
- Array1 第一个数组或数据区域。
- Array2 第二个数组或数据区域。
注解:
- 参数可以是数字,或者是包含数字的名称、数组或引用。
- 如果数组或引用参数包含文本、逻辑值或空白单元格,则这些值将被忽略;但包含零值的单元格将计算在内。
- 如果数组 1 或数组 2 中数据点的个数小于 2 个,或者数组 1 或数组 2 的方差为零,函数 FTEST 返回错误值 #DIV/0!。
- 示例
2、GAMMADIST函数
- 函数功能
返回伽玛分布。可以使用此函数来研究具有偏态分布的变量。伽玛分布通常用于排队分析。
- 语法
GAMMADIST(x,alpha,beta,cumulative)
参数说明:
- X 为用来计算分布的数值。
- Alpha 分布参数。
- Beta 分布参数。如果 beta = 1,函数 GAMMADIST 返回标准伽玛分布。
- Cumulative 为一逻辑值,决定函数的形式。如果 cumulative 为 TRUE,函数 GAMMADIST 返回累积分布函数;如果为 FALSE,则返回概率密度函数。
注解:
- 如果 x、alpha 或 beta 为非数值型,函数 GAMMADIST 返回错误值 #VALUE!。
- 如果 x < 0,函数 GAMMADIST 返回错误值 #NUM!。
- 如果 alpha ≤ 0 或 beta ≤ 0,函数 GAMMADIST 返回错误值 #NUM!。
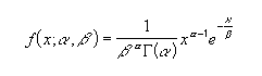
- 伽玛概率密度函数的计算公式如下:
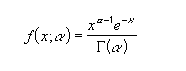
- 标准伽玛概率密度函数为:
- 当 alpha = 1 时,函数 GAMMADIST 返回如下的指数分布:
- 对于正整数 n,当 alpha = n/2,beta = 2 且 cumulative = TRUE 时,函数 GAMMADIST 以自由度 n 返回 (1-CHIDIST(X))。
- 当 alpha 为正整数时,函数 GAMMADIST 也称为爱尔朗 (Erlang) 分布。
- 示例
3、GAMMAINV函数
- 函数功能
返回伽玛累积分布函数的反函数。如果 P = GAMMADIST(x,...),则 GAMMAINV(p,...) = x。
使用此函数可研究可能出现偏态分布的变量。
- 语法
GAMMAINV(probability,alpha,beta)
参数说明:
- Probability 为伽玛分布的概率值。
- Alpha 分布参数。
- Beta 分布参数。如果 beta = 1,函数 GAMMAINV 返回标准伽玛分布。
注解:
- 如果任一参数为文本型,函数 GAMMAINV 返回错误值 #VALUE!。
- 如果 probability < 0,probability > 1,函数 GAMMAINV 返回错误值 #NUM!。
- 如果 alpha ≤ 0 或 beta ≤ 0,函数 GAMMAINV 返回错误值 #NUM!。
- 如果已给定概率值,则 GAMMAINV 使用 GAMMADIST(x, alpha, beta, TRUE) = probability 求解数值 x。因此,GAMMAINV 的精度取决于 GAMMADIST 的精度。GAMMAINV 使用迭代搜索技术。如果搜索在 100 次迭代之后没有收敛,则函数返回错误值 #N/A。
- 示例
更多精彩内容将在以后的章节分享给朋友们,请添加好友至收藏,欢迎点赞并关注后期内容更新!
