轻松办公-OfficeExcel函数精解
(五十三)
1、RSQ函数
- 函数功能
返回根据 known_y's 和 known_x's 中数据点计算得出的 Pearson 乘积矩相关系数的平方。有关详细信息,请参阅函数 PEARSON。R 平方值可以解释为 y 方差与 x 方差的比例。
- 语法
RSQ(known_y's,known_x's)
参数说明:
- Known_y's 为数组或数据点区域。
- Known_x's 为数组或数据点区域。
注解:
- 参数可以是数字或者是包含数字的名称、数组或引用。
- 逻辑值和直接键入到参数列表中代表数字的文本被计算在内。
- 如果数组或引用参数包含文本、逻辑值或空白单元格,则这些值将被忽略;但包含零值的单元格将计算在内。
- 如果参数为错误值或为不能转换为数字的文本,将会导致错误。
- 如果 known_y's 和 known_x's 为空或其数据点个数不同,函数 RSQ 返回错误值 #N/A。
- 如果 known_y's 和 known_x's 函数只包含 1 个数据点,则 RSQ 函数返回错误值 #DIV/0!。
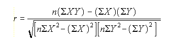
- Pearson 乘积矩相关系数 r 的计算公式如下:
其中 x 和 y 是样本平均值 AVERAGE(known_x's) 和 AVERAGE(known_y's)。
RSQ 返回 r2,即相关系数的平方。
- 示例
2、SKEW函数
- 函数功能
返回分布的不对称度。不对称度反映以平均值为中心的分布的不对称程度。正不对称度表示不对称部分的分布更趋向正值。负不对称度表示不对称部分的分布更趋向负值。
- 语法
SKEW(number1,number2,...)
参数说明:
- Number1, number2 ... 为需要计算偏斜度的 1 到 255 个参数。也可以不使用这种用逗号分隔参数的形式,而用单个数组或对数组的引用。
注解:
- 参数可以是数字或者是包含数字的名称、数组或引用。
- 逻辑值和直接键入到参数列表中代表数字的文本被计算在内。
- 如果数组或引用参数包含文本、逻辑值或空白单元格,则这些值将被忽略;但包含零值的单元格将计算在内。
- 如果参数为错误值或为不能转换为数字的文本,将会导致错误。
- 如果数据点个数少于 3 个,或样本标准偏差为零,函数 SKEW 返回错误值 #DIV/0!。
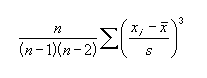
- 不对称度的计算公式定义如下:
- 示例
3、SLOPE函数
- 函数功能
返回根据 known_y's 和 known_x's 中的数据点拟合的线性回归直线的斜率。斜率为直线上任意两点的重直距离与水平距离的比值,也就是回归直线的变化率。
- 语法
SLOPE(known_y's,known_x's)
参数说明:
- Known_y's 为数字型因变量数据点数组或单元格区域。
- Known_x's 为自变量数据点集合。
注解:
- 参数可以是数字,或者是包含数字的名称、数组或引用。
- 如果数组或引用参数包含文本、逻辑值或空白单元格,则这些值将被忽略;但包含零值的单元格将计算在内。
- 如果 known_y's 和 known_x's 为空或其数据点个数不同,函数 SLOPE 返回错误值 #N/A。
- 回归直线的斜率计算公式如下:
其中 x 和 y 是样本平均值 AVERAGE(known_x's) 和 AVERAGE(known_y's)。
- 函数 SLOPE 和 INTERCEPT 中使用的下层算法与函数 LINEST 中使用的下层算法不同。当数据未定且共线时,这些算法之间的差异会导致不同的结果。例如,如果参数 known_y's 的数据点为 0,参数 known_x's 的数据点为 1:
- SLOPE 和 INTERCEPT 返回错误 #DIV/0!。SLOPE 和 INTERCEPT 算法用来查找一个且仅一个答案,在这种情况下可能有多个答案。
- LINEST 返回值 0。LINEST 算法用来返回共线数据的合理结果,在这种情况下至少可找到一个答案。
- 示例
更多精彩内容将在以后的章节分享给朋友们,请添加好友至收藏,欢迎点赞并关注后期内容更新!
