轻松办公-OfficeExcel函数精解
(五十)
1、NORMSINV函数
- 函数功能
返回标准正态累积分布函数的反函数。该分布的平均值为 0,标准偏差为 1。
- 语法
NORMSINV(probability)
参数说明:
- Probability 正态分布的概率值。
注解:
- 如果 probability 为非数值型,函数 NORMSINV 返回错误值 #VALUE!。
- 如果 probability < 0 或 probability > 1,函数 NORMSINV 返回错误值 #NUM!。
- 如果已给定概率值,则 NORMSINV 使用 NORMSDIST(z) = probability 求解数值 z。因此,NORMSINV 的精度取决于 NORMSDIST 的精度。NORMSINV 使用迭代搜索技术。如果搜索在 100 次迭代之后没有收敛,则函数返回错误值 #N/A。
- 示例
2、PEARSON函数
- 函数功能
返回 Pearson(皮尔生)乘积矩相关系数 r,这是一个范围在 -1.0 到 1.0 之间(包括 -1.0 和 1.0 在内)的无量纲指数,反映了两个数据集合之间的线性相关程度。
- 语法
PEARSON(array1,array2)
参数说明:
- Array1 为自变量集合。
- Array2 为因变量集合。
注解:
参数可以是数字,或者是包含数字的名称、数组常量或引用。
如果数组或引用参数包含文本、逻辑值或空白单元格,则这些值将被忽略;但包含零值的单元格将计算在内。
如果 array1 和 array2 为空或其数据点个数不同,函数 PEARSON 返回错误值 #N/A。
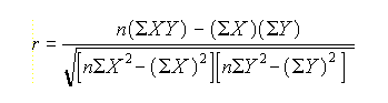
Pearson(皮尔生)乘积矩相关系数 r 的公式为:
其中 x 和 y 是样本平均值 AVERAGE(array1) 和 AVERAGE(array2)。
- 示例
3、PERCENTILE函数
- 函数功能
返回区域中数值的第 K 个百分点的值。可以使用此函数来建立接受阈值。例如,可以确定得分排名在第 90 个百分点之上的检测侯选人。
- 语法
PERCENTILE(array,k)
参数说明:
- Array 为定义相对位置的数组或数据区域。
- K 0 到 1 之间的百分点值,包含 0 和 1。
注解:
- 如果 array 为空或其数据点超过 8,191 个,函数 PERCENTILE 返回错误值 #NUM!。
- 如果 k 为非数字型,函数 PERCENTILE 返回错误值 #VALUE!。
- 如果 k < 0 或 k > 1,函数 PERCENTILE 返回错误值 #NUM!。
- 如果 k 不是 1/(n-1) 的倍数,函数 PERCENTILE 使用插值法来确定第 k 个百分点的值。
- 示例
更多精彩内容将在以后的章节分享给朋友们,请添加好友至收藏,欢迎点赞并关注后期内容更新!
 
       
  
         
         
  
 