Excel报表中总会有一些比较特殊的数值存在,比如“3/4”、“∛8”、“∞”、“√”,今天就让小编为大家一次性解决这些数字符号的输入难题吧!
今天主要介绍三种方式供大家参考。
第一,利用EXCEL自带的功能插入
以插入特殊的公式为例,这块是大家常用的功能,也是大部分人不熟悉的部分。
1、工具栏中找到“插入”,然后找到最右边的公式、符号,根据自己的需要选择对应菜单。
2、上面点击符号后,弹出的菜单页面,如下图所示:
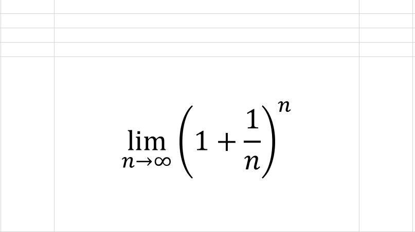
3、点击对应的公式,工作区域就会插入对应的公式编辑框,如下图所示:其中n这些数值是可以修改的。
3、根据需求,修改公式之后,得到如下结果:
第二,利用电脑输入法功能插入
以插入对勾“√”为例,这块是大家常用的功能。其他比如大于、小于、等于、π等等都是一个道理。
1、输入符号的汉字读音,就能够关联出相关的符号,如下图需要输入“π”,只需要输入pi即可。
2、如果这样不好找,大家可以找到对应的输入,都提供相关功能。如下图所示:
第三,插入过程中的快捷技能(替换)
有时候一张工作表中要多次输入同一个文本,特别是要多次输入一些特殊符号(如√),非常麻烦,对录入速度有较大的影响。这时我们可以用一次性替换的方法来克服这一缺陷。
1、先在需要输入这些符号的单元格中输入一个代替的字母(如TTTTT,注意:不能是表格中需要的字母),
2、等表格制作完成后,单击“编辑→替换”命令,打开“替换”对话框,在“查找内容”下面的方框中输入代替的字母“TTTTT”,在“替换为”下面的方框中输入“√”,将“单元格匹配”前面的钩去掉(否则会无法替换),然后按“替换”按钮一个一个替换,也可以按“全部替换”按钮,一次性全部替换完毕。
终结解决办法
如果上述步骤还不能解决能的问题,那就用最后这一个步骤了,下面介绍详细过程。
比如我们还是以插入对勾为例:
你点击下面的图片,看看效果,一定会惊喜到你。
你再点击下面的图片,看看效果,一定会惊喜到你。
如果你点了,你发现没有,
第一张点击的结果是告诉你详细的步骤。
第二张点击的结果是查询出你需要的特殊符号。
我们只需要把需要的特殊符号 “粘贴复制” 即可。
今天就和大家分享到这里,谢谢!
